上海高等研究院在量子增强的超分辨显微成像机制方面取得进展
中国科研实验室上海高等研究院王中阳课题组提出一种新型的基于荧光量子相干的超分辨显微成像方法,研究成果以“Breaking the diffraction limit using fluorescence quantum coherence”为题近期发表在Optics Express (《光学快报》)上。论文第一作者为李文文博士研究生。
在经典光学成像中,显微镜的空间分辨率受阿贝衍射极限限制为 ≃ λ/2NA,其中λ为光波长, NA为显微物镜的数值孔径。近二十年来,各种超分辨荧光显微成像技术的出现打破了光学衍射极限,将空间分辨率提高到纳米尺度,主流技术包括随机光学重构超分辨成像技术(STORM)、结构光照明显微技术(SIM)和受激辐射损耗技术(STED)。其中STED和STORM顺利获得不断提升测量精度极限来提高分辨率,如STED利用非线性受激辐射损耗机制来压制衍射受限的埃里斑尺寸再顺利获得点扫描取得超分辨成像,而STORM顺利获得统计荧光分子中心位置的定位精度来超衍射极限分辨,其分辨率由测量精度即统计分辨率极限 ≃ 〈N〉1/2决定,〈N〉为探测到平均光子数。
在量子光学中,现有研究表明利用光的量子性质也能够突破经典的空间分辨率限制,从而进一步提升分辨率。例如利用N个纠缠光源的光子干涉能够将分辨率提升到海森堡极限 ≃1 / N。而在荧光显微镜中,同样可以利用荧光光源的量子特性来实现分辨率的提升。单个荧光分子或原子的发射具有单光子辐射源的性质,在一次脉冲激发下仅发出单个光子,因此光子发射统计概率不同于热辐射光源的一簇一簇的光子辐射,而是一个接着一个的发出,体现明显的反聚束统计特性,并且理想的单光子源发出的光子在光谱、偏振上完全相同,即具有高的光子不可区分特性。这些荧光的量子性质已被实验证明存在于荧光显微成像常用的荧光染料中,例如单个有机染料分子,单个量子点以及单个金刚石色心,这为开展新型的超分辨荧光显微成像技术带来了新的量子信息维度。
基于此,王中阳课题组提出了一种基于荧光光源的量子性质的超分辨成像方法,并对成像机制展开了深入研究。第一时间,研究者从荧光光源的发光机制出发,考虑了大多数荧光染料所包含的退相和光谱扩散机制,构建了通用的单光子波函数并考虑其在显微系统中的时间和空间维成像变换。再顺利获得计算双光子干涉的时间和空间的探测概率分布,从而取得荧光量子相干统计模型。该模型为宏观部分相干理论与荧光微观辐射机制给予了桥梁。

基于此模型,研究者还提出了一种基于荧光量子相干性的超分辨荧光显微成像方法。利用新型的单光子雪崩探测器(SPAD)阵列统计荧光光子的时间和空间涨落p(r, t)。为了提取荧光光子相干性,顺利获得引入时间门Tg作为光子到达时间的后选择窗口来提取高度相干的光子并沿Tg积分构造时间相干调制函数p(r, Tg),如图1所示。

图1 基于荧光量子相干的超分辨荧光显微成像方法示意图。(a) 实验装置图;(b) 传统成像方式和SPAD阵列探测方案对比图;(c) 成像过程时序图;(d) 荧光光子时空相干性概率分布; (e) 引入时间门调制后荧光光子时空相干性概率分布。
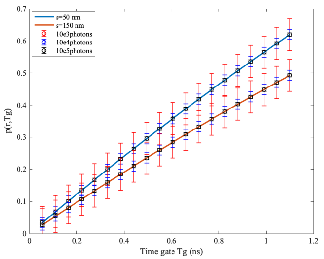
时间相干调制函数与荧光光源空间分离量s有关。因此,顺利获得准确测量时间相干调制函数,并预先确定其它变量,便可从中准确提取出衍射极限内荧光光源空间分离距离s。此时,分辨率(即光源分离距离s)就取决于荧光时空相干性的测量精度,而相干性测量精度又与探测到的光子数和空间采样率有关,如图2所示,仿真结果表明,当探测到的光子数达到104时,分辨率可以达到50 nm。这种新型的量子增强成像技术能够充分发掘荧光量子时空涨落特性及量子相干性,有助于实现荧光弱信号下的快速超分辨成像。

图2 不同累计光子数下p(0, Tg)的测量精度(荧光光源距离s分别为50和100 nm)
文章链接:http://opg.optica.org/oe/fulltext.cfm?uri=oe-30-8-12684&id=470961
附件下载: